(Bu sayfa sürekli güncellenecektir. Web sayfam üzerindeki paylaşımlar bu tek sayfa ve aynı zamanda debsis üzerinden de yapılacaktır.)
“Bilgisayar Bilimlerine Giriş” Dersine Hoş Geldiniz
Sevgili öğrenciler,
Bu ders, yazılım mühendisliği yolculuğunuzda atacağınız ilk adım olacak. Bugün sizler yalnızca derslere katılacak öğrenciler değil, geleceğin mühendisleri, araştırmacıları ve yenilikçileri olarak bu yolculuğa başlıyorsunuz. Bu anlamda her biriniz bizi yansıtan bir ayna olacaksınız. Hepiniz artık büyük bir ailenin bir paydaşısınız.
Günümüz dünyasında bilgisayar bilimleri yalnızca kod yazmaktan ibaret değildir. Sağlık hizmetlerinden finansal sistemlere, iletişim ağlarından uzay araştırmalarına kadar her alanda bilgisayar bilimleri ve yazılım mühendisliği kritik bir rol üstlenmektedir. Bu nedenle bu ders, yalnızca temel bilgileri öğretmeyi değil; aynı zamanda sizlere bütüncül bir bakış açısı, sorgulama ve araştırma becerileri, proje odaklı düşünme alışkanlığı kazandırmayı hedeflemektedir.
Dersin Amacı ve Felsefesi
Bu dersin amacı, sizlere bilgisayar bilimlerinin temellerini tanıtmak, yazılım mühendisliğinin bir disiplin olarak nasıl şekillendiğini göstermek ve mühendislik yaklaşımıyla sorun çözmeyi öğretmektir. Ders boyunca yalnızca teknik bilgi edinmeyecek, aynı zamanda nasıl düşüneceğinizi, nasıl sorgulayacağınızı, nasıl araştırma yapacağınızı, araştırma yaparken hangi kaynaklara sahip olduğunuzu ve öğrendiğiniz bilgileri nasıl uygulamaya dönüştüreceğinizi de keşfedeceksiniz. Bunun keşifçi bir süreç olduğunu lütfen hissedin, yaşayın, benimseyin, tadını çıkarın ve daha bir sürü şey…:)
Dersimiz:
-
Bilgisayar donanımı ve yazılımından algoritmalara,
-
Programlama dillerinden veri tabanlarına,
-
Yazılım kalitesinden bilgi güvenliğine kadar geniş bir perspektif sunacaktır.
Her hafta farklı bir konuyu ele alırken, disiplinler arası bağlantıları görmenizi sağlayacağız.
Dersin Kazanımları
Bu dersin sonunda sizlerden beklenen temel kazanımlar:
-
Bilgisayar bilimlerine bütüncül bir yaklaşım ile bakabilmek,
-
Yazılım mühendisliğini bir mühendislik disiplini olarak kavramak,
-
Sorgulama, araştırma ve raporlama yeteneği kazanmak,
-
Yazılım mühendisliği müfredatındaki temel derslerle ilgili ön bilgiye sahip olmak,
-
Ar-Ge faaliyetleri ve proje yönetimi kavramlarını öğrenmek.
Bu kazanımlar sayesinde yalnızca birinci sınıf öğrencileri olarak değil, geleceğin yazılım mühendisleri olarak adım adım yetkinleşeceksiniz.
Dersin İçeriği
Dersimiz 14 haftaya yayılan bir plan dahilinde işlenecek:
-
İlk haftalarda bilgisayar bilimlerinin temellerini, yazılım mühendisliğine giriş konularını ve algoritmaları tanıyacağız.
-
Sonraki haftalarda programlama dilleri, işletim sistemleri, bilgisayar ağları, veri yapıları ve veri tabanları gibi mühendisliğin temel yapı taşlarını ele alacağız.
-
Dersin ilerleyen kısımlarında yazılım kalite güvencesi, test süreçleri ve bilgi güvenliği gibi sizi hem sektöre hem de akademiye hazırlayacak konulara değineceğiz.
Bu dersin sonunda yalnızca “dersi geçen” değil, aynı zamanda bilgisayar bilimleri alanında sağlam bir temel inşa eden öğrenciler olmanızı bekliyoruz.
Öğrenci Desteği ve Ofis Saatleri
Dersle ilgili her türlü sorunuzda yalnız değilsiniz.
-
Pazartesi 10:00 – 11:00 ve Çarşamba 13:00 – 14:00 arasında benimle birebir görüşebilirsiniz.
- Laboratuvar hocanızın da ofis saatini öğrenerek yardıma ihtiyaç duyduğunuzda görüşebilirsiniz.
-
Ayrıca diğer hocalarımızdan da öğrenci ofis saatleri talep edebilirsiniz.
Unutmayın, bu ders yalnızca bir öğretim faaliyeti değil, aynı zamanda birlikte öğrenme ve keşfetme sürecidir.
Bu Ders Neden Önemli?
-
Bilgisayar bilimlerine sağlam bir temel oluşturmadan ilerlemek mümkün değildir. Doğru terminolojiyi ve mesleki bilgiyi almanızı önemsiyoruz.
-
Bu ders sayesinde yalnızca sınavlara hazırlanmayacak, aynı zamanda mühendislik disiplininin mantığını öğreneceksiniz.
-
Öğrendiğiniz bilgiler, ikinci ve üçüncü sınıfta alacağınız yazılım mühendisliği derslerinde size büyük avantaj sağlayacak.
-
Daha da önemlisi, bu ders size sorgulayan, araştıran, raporlayan ve çözüm üreten bir mühendis bakış açısı kazandıracaktır.
Sevgili öğrenciler,
Bu yolculukta merakınızı canlı tutun, araştırmaktan, eleştirmekten, sorgulamaktan çekinmeyin ve üretmekten asla vazgeçmeyin.
Lütfen derslerde “cümle kurun”. Bunun ne demek olduğunu/önemini ilerleyen yıllarda daha iyi anlayacağınızı garanti ediyorum 🙂
Lütfen ÜÇÜNCÜ E‘ye çok önem verin.
Lütfen 1 e 3’e de dikkat edin…
Hazırsanız o halde buyrun başlayalım…
- HAFTA DOKÜMANI:
27.09.2025
ÖDEVLERLE İLGİLİ GENEL BİLGİLENDİRME
(Burada açıklanan kurallar tüm ödevler için geçerlidir. Her ödevde tekrar edilmeyecektir.)
- Ödevlerin çoğu bu ders için bireysel olarak hazırlanacak ödevler olacaktır.
- Başka bir açıklama yapılmadıkça ödevler sınıf temsilcilerine teslim edilecektir. Her ödev için her sınıftan sınıf temsilcisinin teslim edeceği bir adet ödev teslim dosyası olacaktır.
- Ödevlerdeki “Ödev Başlığı” Ödevin konseptini tarif eder.
- Ödevlerdeki “Ödev Metni” kısmı ödev başlığı altında yer alır, ödevde ne yapacağınızı tarif eder.
- Ödevlerdeki “Amacı” kısmı ödevin veriliş amacını açıklar.
- Ödevlerdeki “Beklenen Çıktı” kısmı ödevi yapanlardan ne beklediğimizi ifade eder.
- Ödevlerdeki “Teslim Süreci” kısmı ödevinizi nasıl ve hangi formatta teslim edeceğinizi ifade eder.
- Ödevlerdeki “Son Teslim Tarihi” sınıf temsilcilerinin topladıkları ödevleri bana sıkıştırılmış dosya şeklinde tariflenecek format ve uzantıda gönderebilecekleri son tarih ve saat bilgisini içerir.
BAZI ÖNERİLER VE YARDIMCI KAYNAKLAR:
LİTERATÜR NASIL TARANIR:
İYİ BİR ARAŞTIRMA NASIL YAPILIR:
1. HAFTA DOKÜMANI
İlk Ders
2. HAFTA DOKÜMANI
Temel KavramlarÖDEV 1:
Dosya Türleri ve Bilgisayar Ölçü Birimleri Ödevi
Dosya Türleri ve Veri Boyutu Hesaplama
ÖDEV: Bilinen resim dosyası türlerini verip kısaca açıklayınız. Bilinen video dosya türlerini verip kısaca açıklayınız. Bilinen ses dosyası türlerini verip kısaca açıklayınız. Bilinen metin dosyası türlerini verip kısaca açıklayınız.
Bu ödevi yaparken bir tablo oluşturunuz. Aşağıda tablo için bazı ifadeler var. Bunları örnek olarak değerlendirip araştırmanıza göre değiştirip çoğaltabilirsiniz (popüler kullanım alanları vb.). Ayrıca ödevi yaparken mutlaka kaynak/kaynaklar da gösteriniz.
-
Uzantı (.jpg, .png, .mp4, .mp3, .txt…)
-
Kullanım Alanı (fotoğraf, video, ses, belge…)
-
Avantajları (küçük boyut, yüksek kalite, sıkıştırma özelliği vs.)
-
Dezavantajları (kalite kaybı, uyumluluk sorunu…)
ÖDEV:
Bir görüntü dosyasının çözünürlüğü, renk derinliği vb özelliklerine göre depolama boyutunu hesaplayın. Telefonunuzdan aldığınız farklı resimleri dikkate alarak 1TB’lık bir depolama alanına yaklaşık kaç resim saklayabileceğinizi hesaplayınız. Ayrıca, farklı ağ hızlarında bu dosyanın ne kadar sürede aktarılacağını hesaplayarak karşılaştırma yapın.
Aynı çözünürlükte JPEG, PNG ve BMP farkını gözlemleyiniz. Bunun sebebine dair yapacağınız araştırmayı kısaca raporunuza ekleyiniz.
Amaç:
Bilgisayar ölçü birimlerinin ve ağ hızı kavramlarının anlaşılması.
Beklenen Çıktılar:
Hesaplama tabloları ve açıklamalar.
Teslim Süreci:
Ödevi el yazınız ile hazırlayınız. Ödevi herkes kendi sınıf temsilcisine teslim edecektir. Raporlar A4 formatında oluşturulduktan sonra mobil cihazınız ile taranmış şekilde sınıf temsilcisine teslim edilebilir. Daha sonra sınıf temsilcisi her ödev için tek dosya haline getirilmiş sıkıştırılmış dosyayı mbaykara@firat.edu.tr adresine belirtilen tarih içerisinde iletecektir. Bireysel teslimler kabul edilmeyecektir. Ödev teslimlerinde format aşağıda verilmiştir.
Sınıf Temsilcilerine Teslim:
Mail Konusu: Bilgisayar Bilimlerine Giriş + Ödev Numarası
ÖğrenciNo_İsim_Soyisim.dosyauzantısı (Örnek: 25541ABC_Muhammet_Baykara.png birden fazla resim dosyası olacaksa 25541ABC_Muhammet_Baykara.rar)
mbaykara@firat.edu.tr’ye Temsilcilerden Teslim:
Mail Konusu: Bilgisayar Bilimlerine Giriş + Ödev Numarası
BBG_Subeadı_OdevNo.dosyauzantısı (Örnek: BBG_AŞUBESİ_ODEV1.rar)
Her öğrenciden her ödev için temsilciye tek mail atılacaktır. Her ödev için temsilciden mbaykara@firat.edu.tr’ye tek mail atılacaktır.
Son teslim tarihi: 09.10.2025 23:59 (Sınıf temsilcilerinden gelecek toplanmış dosyaların teslimi için son tarih.)
ÖDEV 2:
Önceki ödevde belirtilen teslim şartları aynı olmak şartıyla aşağıda ödev metni verilen ödevi hazırlayınız.
Kendi el yazınız ile bir dilekçe oluşturmanız isteniyor. Bu dilekçeyi gerçekten gereksinimini tespit ettiğiniz bir konuda bir, eleştiri, öneri, talep/istek bağlamında istediğiniz üniversite birimimize hitaben yazınız. Bazı örnekleri aşağıda sizler için yazıyorum. Bunlar veya bunlara benzer bir konuda burada belirtilen veya isteğinize uygun birime yazın.
1-Üniversite kütüphanesine bilgisayar bilimleri alanında yeni kaynak kitap talebi. (Kütüphane Daire Başkanlığına)
2-Kütüphane çalışma saatlerinin uzatılması isteği.
3-Bilgisayar laboratuvarında daha güncel yazılımlar (Python, Java, MATLAB vb.) yüklenmesi talebi.
4-Laboratuvardaki internet hızının artırılması.
5-Bilgisayar donanımlarının yenilenmesi talebi. (Bölüm başkanlığına)
6-Yeni bir seçmeli ders açılması (örneğin Yapay Zekâ, Oyun Programlama). (Bölüm başkanlığına)
7-Topluluk veya öğrenci kulübü kurulması için izin talebi (örn. Siber Güvenlik Topluluğu). (Spor Kültür Daire Başkanlığına) vb.
Son teslim tarihi: 09.10.2025 23:59 (Sınıf temsilcilerinden gelecek toplanmış dosyaların teslimi için son tarih.)
Not: Teslim süreci için ilk ödevdeki ve ilk hafta belirtilen kurallara uyunuz
ÖDEV 3:
https://www.linkedin.com/in/muhammetbaykara/
Bağlantı kurunuz. Buna dair bir ekran görüntünüzü önceki ödev kurallarına göre temsilcinize gönderiniz.
Son teslim tarihi: 09.10.2025 23:59 (Sınıf temsilcilerinden gelecek toplanmış dosyaların teslimi için son tarih.)
Not: Teslim süreci için ilk ödevdeki ve ilk hafta belirtilen kurallara uyunuz.
ÖDEV 4: E-Posta Yazma
Amaçlar (Objectives)
-
Resmî e-posta yazım kurallarını öğrenmek.
-
E-posta yazarken doğru hitap, konu ve içerik düzenini uygulamak.
-
E-posta gönderirken To / CC / BCC alanlarını verimli kullanmak.
Resmî E-Posta Yazım Şablonu
Kime (To): Bu kısım ana alıcı(lar)’nın yazıldığı bölümdür.
CC (Bilgi): E-postadan haberdar olması gereken diğer kişilerin yazılması gereken bölümdür.
BCC (Gizli): Alıcıların birbirini görmemesi istenen durumlarda gizli kopya. Yani buraya yazdığınız mail adresine gittiğini ana alıcılar bilmez.
Konu (Subject): E-postanın içeriğini özetleyen kısa ve net başlık. Konu kısmı boş olan bir mail yazılmamalıdır.
Gövde (Body):
-
Selamlama (Greetings):
-
Sayın [Ad Soyad], Örneğin: Sayın Hocam. Örneğin: Sevgili Arkadaşlar Merhaba.
-
Merhaba [Ad Soyad],
-
-
Ana Metin (Main Topic):
-
Konuyu açık ve anlaşılır şekilde yazınız.
-
Gereksiz ayrıntılardan kaçınınız.
-
Resmî ve nazik bir dil kullanınız.
-
-
Kapanış (Closing):
-
İlginiz için teşekkür ederim.
-
Geri dönüşünüzü bekliyorum.
-
Saygılarımla, / İyi çalışmalar,
-
-
İmza (Signature):
-
Ad Soyad
-
Bölüm / Sınıf (gerekirse)
-
İletişim bilgileri
-
✅ Örnek Resmî E-Posta
Kime (To): mbaykara@firat.edu.tr
CC: zbmetin@firat.edu.tr
BCC: (boş bırakılabilir)
Konu: Ödev Teslim Tarihi Hakkında Bilgi Talebi
Gövde:
Sayın Hocam,
Bilgisayar Bilimlerine Giriş dersindeki ödevin teslim tarihi hakkında bilgi almak istiyorum. Ders programında belirtilen tarihle sınıfta bahsedilen tarih arasında farklılık olduğunu fark ettim. Doğru tarihi teyit etmenizi rica ederim.
İlginiz için teşekkür ederim.
İyi çalışmalar dilerim.
Saygılarımla,
Ali Yılmaz
Yazılım Mühendisliği 1. Sınıf Öğrencisi
Verilen resmi e posta örneğine benzer şekilde ve metni bir gerçek tespit, istek ya da önerinizi içeren bir e posta hazırlayınız. Bu e postanın bir ekran görüntüsünü ödeviniz olarak sınıf temsilcinize gönderiniz. Bu ödev bir e mail sağlayıcısı üzerinden ekran görüntüsünün alınması şeklinde yapılabilir. El yazısı ile değil! Mailin gerçekten gönderilmesine gerek yoktur! Bundan sonraki tüm yazışmalarınızda da bu e posta format ve kurallarına uyunuz.
Son teslim tarihi: 10.10.2025 23:59 (Sınıf temsilcilerinden gelecek toplanmış dosyaların teslimi için son tarih.)
3. HAFTA DOKÜMANI
1ÖDEV 5:
Mikroişlemci nedir? Mikrodenetleyici nedir? Farkını izah ediniz.
RISC ve CISC nedir? Kısaca izah ediniz.
Von neuman ve Harvard Mimarileri nedir? Açıklayınız.
Bellek hiyerarşisi nedir? Açıklayınız.
Analog sistem nedir? Örnekler vererek açıklayınız.
Digital sistem nedir? Örnekler vererek açıklayınız.
ADC, DAC kavramlarını açıklayınız.
Son teslim tarihi: 11.10.2025 23:59 (Sınıf temsilcilerinden gelecek toplanmış dosyaların teslimi için son tarih. Öğrenciler sınıf temsilcilerine 11.10.2025 22:59 a kadar gönderebilir.)
Not: Teslim süreci için ilk ödevdeki ve ilk hafta belirtilen kurallara uyunuz.
Yazılım mühendisliği mezunu ve yüksek lisansına devam eden paydaşımızın mentörlüğünde teknokentte bizimle çalışmak isteyenleri bekliyoruz:

11.10.2025 tarihinde teknokenteki FÜBET kulübü etkinliğine bekleriz:


ÖDEV 6:Ofis Programları
(2nolu ödev excelde diğerleri wordde yapılacaktır!!! Word ödevlerinde sığdırdığınız ölçüde tek bir word dosyasında dahi SS alınabilir)
1-Haftalık programınızı içeren bir tabloyu MS wordde oluşturun. Haftanın tüm günlerini ve 09:00-23:00 saatleri arasını içersin. Ekran görüntüsünü alınız. 1’e 3’ü nasıl doldurduğunuzu bir görelim 🙂
2-Haftalık programınızı içeren bir tabloyu MS excelde oluşturun. Ekran görüntüsünü alınız.
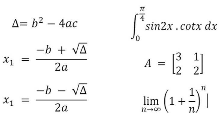
3- Aşağıdaki görseldeki ifadeleri denklem aracı ile oluşturup ekran görüntüsünü alınız.
4- a, b ve c katsayılarına göre bir ikinci derece denklemin kök formülünü yazıp ekran görüntüsünü alınız.
5- n terimli bir dizinin toplamı sigma sembolüyle gösterilecek şekilde yazıp ekran görüntüsünü alınız.
6- x değişkenine göre türev alınan f(x) = 3x² + 5x + 2 fonksiyonunu denklem biçiminde yazıp ekran görüntüsünü alınız.
7- 0’dan π/2’ye kadar sin(x)’in integrali olarak verilen ifadeyi yazıp ekran görüntüsünü alınız.
8- e üzeri x’in türevinin yine e üzeri x olduğunu gösteriniz. Ekran görüntüsünü alınız.
9- 45° açısının sinüs ve kosinüs değerlerini sembolik olarak yazıp ekran görüntüsü alınız.
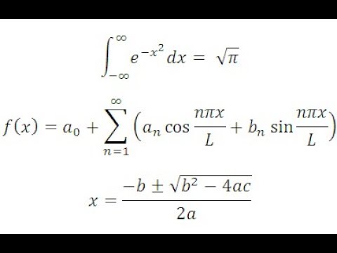
10- Aşağıdaki görseldeki ifadeleri denklem aracı ile oluşturup ekran görüntüsünü alınız.
Son teslim tarihi: 12.10.2025 23:59 (Sınıf temsilcilerinden gelecek toplanmış dosyaların teslimi için son tarih. Öğrenciler sınıf temsilcilerine 12.10.2025 22:59 a kadar gönderebilir.)
Not: Teslim süreci için ilk ödevdeki ve ilk hafta belirtilen kurallara uyunuz.
4. HAFTA DOKÜMANI
1
ÖDEV 7:Akış Şemaları
OBS’nin akış şemasını çiziniz.
Not: En iyi ödeve hediye verilecektir:)
Son teslim tarihi: 17.10.2025 23:59 (Sınıf temsilcilerinden gelecek toplanmış dosyaların teslimi için son tarih. Öğrenciler sınıf temsilcilerine 17.10.2025 22:59 a kadar gönderebilir.)
Not: Teslim süreci için ilk ödevdeki ve ilk hafta belirtilen kurallara uyunuz.
ÖDEV 7’nin hediye durumları için derste açıklama yapılacaktır. Şimdi yeni bir çalışmaya buyrun…
ÖDEV 8:Yazılım ve Yazılımı oluşturan unsurlar
1. Yazılım ile program arasındaki farklılığı belirtiniz.
2. Yazılım ile donanım arasındaki farklılıkları belirtiniz.
3. Neden yazılım giderek pahalılaşırken, donanım ucuzlamaktadır? Bu gerçekten böyle midir? Nasıl örneklendirirsiniz.
4. Yazılım mühendisliği ile diğer mühendislik disiplinlerini karşılaştırınız.
5. Derste verilen yazılım sınıflandırmasını dikkate alarak, her sınıflandırma için bir yazılım örneği veriniz. Olası yeni bir sınıflama veriniz. Burada yapay zeka toollarından yararlanabilirsiniz.
6. Yazılım mühendisi ile programcı arasındaki farklılığı belirtiniz.
7. Yazılım Hatalarında yayılma neyi ifade etmektedir? Bunun önüne geçebilmek için ne yapılmalıdır? Yorumlayınız.
8. Yazılım maliyetinde hangi sınıflandırma ağır basmaktadır? Maliyeti hangi unsurlar belirler.
9. İşlevlerine Göre Sınıflandırmada Kural Temelli ’ye Örnek veriniz.
10. Yazılım Kalitesini Tanımlayınız. (lütfen ödevin tamamını tekrar el yazınız ile yazıp iletiniz)
Son teslim tarihi: 18.10.2025 23:59 (Sınıf temsilcilerinden gelecek toplanmış dosyaların teslimi için son tarih. Öğrenciler sınıf temsilcilerine 18.10.2025 22:59 a kadar gönderebilir.)
Not: Teslim süreci için ilk ödevdeki ve ilk hafta belirtilen kurallara uyunuz.
ÖDEV 9: Yazılım Yaşam Döngüsü
Ödevin Amacı: Yazılım yaşam döngüsünü kavramak, her bir aşamada neler yapıldığını anlamak ve tüm süreci içselleştirmek.
Görev: Bir uygulama (örneğin bir akıllı telefon uygulaması, bir mobil oyun, öğrenci bilgi sistemi, bir CRM veya ERP uygulaması vb.) seçin. Hangi uygulamayı seçeceğiniz tamamen size bırakılmıştır. Seçtiğiniz uygulamanın geliştirme sürecini (SDLC) aşamalarıyla açıklayın. Yani her aşamada neler yapılmış olabileceğini kendi yorumlarınızla yazın. Genel olarak her aşamada neler yapıldığını dersteki anlatımlardan biliyorsunuz. SDLC aşamalarını dersteki beşli (P, Ç, T, G, B) çekirdek süreçleri alarak ele alın. 1-2 sayfalık kısa bir döngü analizi yapın, Word veya Canva üzerinden görselleştirilebilir veya el yazısı ile yapabilirsiniz.
Son teslim tarihi: 23.10.2025 23:59 (Sınıf temsilcilerinden gelecek toplanmış dosyaların teslimi için son tarih. Öğrenciler sınıf temsilcilerine 23.10.2025 22:59 a kadar gönderebilir.)
ÖDEV 10:Yazılım Süreç Modeli Seçimi
Ödev Türü: Analitik Case Study
Ödevin Amacı: Süreç modellerinin ne demek olduğunu, farklarını anlamak ve karar verme becerisi kazanmak.
Görev: Bir yazılım firması, müşterisinin istediği dijital dönüşüm projesi için ( mevcutta herhangi bir yazılımın kullanılmadığı bir alanda) kısa sürede prototip çıkarmak istiyor; yalnız burada müşteri de henüz bir mevcut sistem olmadığı için sık sık istek değiştiriyor. Ancak aynı zamanda burada güvenlik kritik bir sistem geliştirilmesi gerekiyor. Böyle bir durumda;
Hangi yazılım süreç modelini önerirsiniz? Neden? Detayları ile açıklayınız.
Bu seçtiğiniz modelin avantajlarını ve olası dezavantajlarını detayları ile birlikte açıklayınız.
Bu seçtiğiniz modelin dışında bir model seçecek olsanız, alternatif model olarak seçtiğiniz model ne olurdu? Nedeniyle birlikte açıklayınız. Alternatif model ile başta tercih ettiğiniz modeli bir tablo ile karşılaştırınız.
Son teslim tarihi: 23.10.2025 23:59 (Sınıf temsilcilerinden gelecek toplanmış dosyaların teslimi için son tarih. Öğrenciler sınıf temsilcilerine 23.10.2025 22:59 a kadar gönderebilir.)
ÖDEV 11: Kendi Yazılım Süreç Modelini Tasarla
Ödev Türü: Yaratıcı, açık uçlu proje.
Ödevin Amacı: Süreç modellerinin ne demek olduğunu kavramak. Model kavrayışını pekiştirmek.
Görev: Kendi yazılım süreç modelinizi tanımlayınız. Tanımladığınız model için aşağıdaki istenenleri mutlaka veriniz. Model aşamalarınızın ne olacağını, her aşamada nelerin yapılmasını öngördüğünüzü detaylı bir şekilde açıklayınız. Hangi aşamada hangi yardımcı tool, yazılım ya da kütüphanelerin kullanılabileceğini vurgulayınız. Dilediğiniz ölçüde ütopik olabilirsiniz:) Modelinizin avantajlarınızı belirtiniz. Siz yaptıysanız en mükemmel modeldir ancak hani kul yapısı neticede olası (yaaaaniiiii hadi olur da) dezavantajları varsa onları da belirtiniz. Bu süreç modelinin nerede/ne tür projelerde kullanılabileceğini vb. vurgulayınız.
-
Aşamalar (örneğin Düşünüş → Analiz → Tasarım → Kodlama → Test → Geri Bildirim)
-
Aşamalar arası ilişkiler
-
Avantaj / dezavantaj
-
Nerede kullanılabileceği
Son teslim tarihi: 23.10.2025 23:59 (Sınıf temsilcilerinden gelecek toplanmış dosyaların teslimi için son tarih. Öğrenciler sınıf temsilcilerine 23.10.2025 22:59 a kadar gönderebilir.)
ÖDEV 12:Yazılım Geliştirme Takımını Kur
Ödev Türü: Rol oyunu. Yönetici rolü.
Ödevin Amacı: Yazılım geliştirme yaşam döngüsünü kavramak. Yazılım ekiplerinin oluşturulması konusunu deneyimlemek. İnsan kaynaklarının planlanmasını düşünmek. Ekip dinamiklerini öğrenmek.
Görev: Bu ödev için öncelikle bir yazılım projesi fikri belirleyeceksiniz (Örneğin OBS gibi) Bu fikri amaç ve kapsam bağlamında kısaca değerlendireceksiniz. Projedeki amaç ve kapsam belirlenip raporlandıktan sonra ÖDEV 9’dakine benzer şekilde SDLC’de aşamaları planlayıp ekip üyelerini ve bunların rollerini belirleyeceksiniz. Şoför, operatör, gurme, teknisyen, mühendis 🙂 ne gerekiyorsa belirledikten sonra her rolün görevini cümlelerle açıklayacaksınız. Projenin SDLC sürecinde hangi aşamada hangi rolün devreye girdiğini gösteren bir tablo oluşturacaksınız.
Son teslim tarihi: 23.10.2025 23:59 (Sınıf temsilcilerinden gelecek toplanmış dosyaların teslimi için son tarih. Öğrenciler sınıf temsilcilerine 23.10.2025 22:59 a kadar gönderebilir.)
5. HAFTA DOKÜMANI
ÇEVİK YAZILIM
ÇEVİK EK KAYNAK
cevik ek kaynakVODAFONE TÜRKİYE’NİN AGILE YOLCULUĞU
vodafone turkiyenin agile yolculuğuÖZETLE AGILE
ozetle agilePROJELERE STRATEJİK BAKIŞ
stratejik bakış6. HAFTA DOKÜMANI
ALGORİTMAAlgoritma
algoritma-2
**************************************************************************
BİLGİSAYAR BİLİMLERİNE GİRİŞ LABORATUVAR FÖYLERİ:
Bilgisayar Bilimlerine Giriş Laboratuvar Dersi Hafta 1.2
Bilgisayar Bilimlerine Giriş Laboratuvar Dersi Hafta 2
Bilgisayar Bilimlerine Giriş Laboratuvar Dersi Hafta 3
Bilgisayar Bilimlerine Giriş Laboratuvar Dersi Hafta 4
Bilgisayar Bilimlerine Giriş Laboratuvar Dersi Hafta 5
Bilgisayar Bilimlerine Giriş Laboratuvar Dersi Hafta 6
Bilgisayar Bilimlerine Giriş Laboratuvar Dersi Hafta 7
Bilgisayar Bilimlerine Giriş Laboratuvar Dersi Hafta 8
Bilgisayar Bilimlerine Giriş Laboratuvar Dersi Hafta 11
Bilgisayar Bilimlerine Giriş Laboratuvar Dersi Hafta 12
**************************************************************************
7. HAFTA DOKÜMANI
veriyapilariveriyapilarisorular
8. HAFTA DOKÜMANI
PROGRAMLAMA DİLLERİ
9. HAFTA DOKÜMANI
SAYI SİSTEMLERİ
ÖDEV 13:Sayı Sistemleri
1- Binary, Decimal, Octal, Hexadecimal ve BCD kavramlarını araştırınız. Bu kavramların araştırmalarınız sonucu elde ettiğiniz özelliklerini yazınız.
2- Beş adet rastgele seçtiğiniz decimal sayının taban analizini yapın ve çözümlemesini gösterin. Seçtiğiniz 5 adet decimal sayının binary, octal ve hexadecimal karşılıklarını verin.
3-1010110, 1110001, 10000011 Binary sayılarının decimal karşılıklarını veriniz.
4-(01110110) BCD sayısının karşılığını veriniz.
5-39, 57, 128, 255 decimal sayılarının binary karşılıklarını veriniz.
6-(S)B=Tn Tn-1 … T0, K1 K2 … Km olmak üzere (1567)8 sayısı (S)16 sayısına dönüştürüldüğünde T2 nin değeri ne olur?
7- Aşağıdaki binary sayıların hem tam hem ondalıklı kısmını ayırarak desimale dönüştürünüz:
1101.011
101.1001
8- Sayı sistemleri dokümanının içeriğine ve vize sınavındaki formata uygun olarak çoktan seçmeli 10 adet soruyu cevapları ile birlikte veriniz.
9-Sayı sistemleri günlük yaşamdan mühendisliğe, bilişimden elektroniğe birçok alanda kullanılmaktadır. Bilgisayar mimarisi, bilgisayar ağları, renk kodları (hex), mikroişlemciler (makine dili ve assembly), bellek boyutları, barkodlar ve QR kodları, finansal sistemler, web renk kodları, video sıkıştırma, ses sıkıştırma, yapay zeka ve makine öğrenimi(GPU’larda hesaplamalar), IoT sensörlerde veri kodlama, kriptografi vb. alanlar bunlara örnek verilebilir. Bu ve araştırmalarınız sonucu bulabileceğiniz başka kullanım alanı ve bu alanlardaki kullanım örneklerini bir araştırma raporu ile detaylıca sunun (tahmini min. 5 sayfa)
Ödevi word vb. kullanarak hazırlayabilirsiniz.
Son teslim tarihi: 11.12.2025 23:59 (Sınıf temsilcilerinden gelecek toplanmış dosyaların teslimi için son tarih. Öğrenciler sınıf temsilcilerine 11.12.2025 22:59 a kadar gönderebilir.)
10. HAFTA DOKÜMANI
Bilgi Güvenliği GirişÖDEV 14:Bilgi Sistemleri ve Güvenliği
1-Bilgi Güvenliği nedir? Kısaca açıklayınız.
2-Bilgi Güvenliğinin temel unsurları olan Gizlilik (Confidentiality), Bütünlük (Integrity) ve Erişilebilirlik (Availability) kavramlarını kendi cümlelerinizle detaylıca açıklayınız. CIA üçlüsüne ek olarak verilen İnkar edememe ve kimlik tespiti kavramlarını da kısaca açıklayınız.
3-“teknoloji güvenliği tam çözmez” görüşünü açıklayan kısa bir değerlendirme yazınız.
4-5651 yasasına göre loglama nasıl yapılır?
5-Smishing, phishing, vishing, spear phishing senaryolarına birer örnek oluştur. Bir kurumda sosyal mühendislik riskini azaltmak için 10 maddelik politika taslağı yazınız.
6- Gerçek hayattan siber güvenlik olayları seç (ör. Facebook veri ihlali, WannaCry saldırısı).
-
Olayı kısaca özetle
-
Hangi CIA bileşenlerinin ihlal edildiğini açıkla
-
Kurum açısından sonuçlarını analiz et
7-Kurgusal bir şirket için 3 farklı sosyal mühendislik saldırı e-postası tasarla:
-
Phishing
-
Spear phishing
-
CEO fraud
Her birinin “kandırma tekniklerini” maddeler halinde açıkla.
8-PDF’deki “Güncel Meslekler” listesinden veya bu konudaki araştırmalarından sonra bir alan seç (ör. malware analyst, penetration tester).
-
Gerekli teknik bilgiler
-
Sertifikalar
-
Kullanılan araçlar
-
1 yıllık öğrenme planı
hazırlayarak kişisel kariyer yol haritası oluştur.
9-PDF’de verilen risk analizi kavramlarını kullanarak, seçtiğin bir organizasyon/kurum için bir tablo oluştur:
-
Varlık – Tehdit – Zaafiyet – Kontrol – Risk Seviyesi
-
Basit bir Nicel Risk Analizi (SLE, ARO, ALE) örneği hesapla (kendi senaryonu kur)
Organizasyonun tehdit ve risk haritasını bu tablo ile oluşturarak açıklayınız.
Ödevi word vb. kullanarak hazırlayabilirsiniz.
Son teslim tarihi: 18.12.2025 23:59 (Sınıf temsilcilerinden gelecek toplanmış dosyaların teslimi için son tarih. Öğrenciler sınıf temsilcilerine 18.12.2025 22:59 a kadar gönderebilir.)
11. HAFTA DOKÜMANI
işletimsistemleriİŞLETİM SİSTEMLERİ
12. HAFTA DOKÜMANI
BOOBLE CEBRİ13. HAFTA DOKÜMANI
VERİ TABANI YÖNETİM SİSTEMLERİ
ÖDEV 15:
1- İşletim Sistemi nedir? Kendi cümlelerinizle kavramsal şemalar da çizerek açıklayınız.Böylece işletim sisteminin kavramsal yapısının ve donanım-yazılım ilişkisinin anlaşılması hedeflenmektedir.
2-Belgedeki (Sayfa 19, 20) “Microsoft Windows Serüveni” bölümünü referans alarak, Windows sürümlerinin (Windows 3.x’ten Windows 8’e kadar) çıkış yıllarını ve temel özelliklerini içeren bir zaman çizelgesi hazırlayınız. DOS tabanlı Windows sürümleri ile NT tabanlı sürümleri arasındaki farkları araştırınız.
3- Windows, Linux, macOS işletim sistemlerini; Çekirdek mimarisi, Kullanıcı–çekirdek modu, Dosya sistemi, Güvenlik yaklaşımı, Hedef kullanıcı kitlesi veya sizin belirlediğiniz diğer başka bazı kriterler(dosya sistemleri, kullanıcı arayüzleri, tarihçe, vb…) bakımından da karşılaştırınız.
4- Windows Denetim Masası ve Kişiselleştirme: Denetim Masası’nı kullanarak aşağıdaki işlemleri nasıl yapacağınızı adım adım ekran görüntüleri ile anlatınız:
-
-
Masaüstü arka planını değiştirme.
-
Ekran koruyucu ayarlama.
-
Yeni bir kullanıcı hesabı (Standart veya Yönetici) oluşturma
-
5-Sunucu işletim sistemi nedir? Son kullanıcı olarak kullandığımız işletim sistemlerinden farkı nedir?
6- Açık Kaynak Kod Felsefesi ve Pardus: Özgür yazılım felsefesi ve Türkiye’nin milli işletim sistemi dağıtımı Pardus. İçerik:
- Linus Torvalds ve Linux çekirdeğinin geliştirilmesi.
- GNU/GPL lisansı nedir?
- Pardus işletim sisteminin gelişimi, kullanım alanları ve kamu kurumları için önemi.
- Sanal makine üzerine bir Linux dağıtımı (Pardus, Ubuntu, Kali veya sizin seçtiğiniz biri) kurulumu ve deneyim raporu.
7-Windows işletim sistemi ailesinden seçeceğiniz bir işletim sisteminin kurulumu ve deneyimi ile ilgili oluşturacağınız raporu kendi kurulum aşamalarınızla ve araştırmalarınızla veriniz.
8-Kendi işletim sisteminiz: Bilinen işletim sistemlerini düşününüz. Hayali bir işletim sistemi oluşturup bilinen işletim sistemlerinin özelliklerinden farklılıklarını ortaya koyacak şekilde ödevinizi raporlayınız.
9-Süreç (Process) ve İş Parçacığı (Thread) Analizi:Kendi bilgisayarınızda çalışan süreçleri inceleyiniz.
- Windows: Task Manager
- Linux/macOS:
top,htop,ps - En az 5 süreci detaylı analiz ediniz:
-
PID
-
CPU / RAM kullanımı
-
Süreç durumu
-
Not: Ödevi word vb. kullanarak hazırlayabilirsiniz.
Son teslim tarihi: 08.01.2026 23:59 (Sınıf temsilcilerinden gelecek toplanmış dosyaların teslimi için son tarih. Öğrenciler sınıf temsilcilerine 08.01.2026 22:59 a kadar gönderebilir.)
ÖDEV 16: Boole Cebri
1-Aşağıdaki fonksiyonları sadeleştiriniz.

2-Üç değişkenli (x, y, z) bir fonksiyon için doğruluk tablosunda sadece aşağıdaki satırlarda “1” çıkışı alınmaktadır:
-
(0, 1, 1)
-
(1, 0, 1)
-
(1, 1, 0)
-
(1, 1, 1)
Bu fonksiyonun Minterm gösterimini yazınız. Fonksiyondaki standart cebirsel terimleri veriniz. Karnaugh haritası ile en sade halini bulunuz.
3-F(x, y) = x’y + xy + xy’ fonksiyonunu 2×2’lik Karnaugh diyagramına yerleştiriniz ve en sade halini bulunuz.
4-Aşağıdaki fonksiyonu K-Haritası yöntemiyle sadeleştiriniz:
F(x, y, z) = ∑(0, 2, 4, 5, 6)
5-Bir panelde 3 adet anahtar (A, B, C) bulunmaktadır. Lambanın (F) yanması için şu şartlar gereklidir:
-
En az iki anahtarın kapalı (1) olması durumu.
-
Tüm anahtarların açık (0) olması durumu hariç tutulacaktır.
Buna göre;
-
Sistemin doğruluk tablosunu oluşturun.
-
Çıkışın “1” olduğu durumları Minterm olarak belirleyin.
-
K-Haritası ile ifadeyi sadeleştirin.
6-Konu ile ilgili 5 adet çoktan seçmeli (5 seçenekli) soruyu cevaplarını da vererek hazırlayınız.
Son teslim tarihi: 01.01.2026 23:59 (Sınıf temsilcilerinden gelecek toplanmış dosyaların teslimi için son tarih. Öğrenciler sınıf temsilcilerine 01.01.2026 22:59 a kadar gönderebilir. Bu ödev el yazısı ile hazırlanacaktır)
ÖDEV 17: VTYS-1
GÜNCELLENECEK…
İlk Yorumu Siz Yapın